2 (中国社会科学院研究生院, 北京, 102488)
2007年底次贷危机爆发, 美国的银行资金链条发生断裂, 导致了银行危机和金融危机, 并很快蔓延到世界各地, 演变为金融海啸和经济危机。为了应对金融危机导致的经济衰退, 美国采取了扩张性的财政政策和宽松的货币政策, 修复银行体系, 刺激经济增长, 结果导致政府部门杠杆比率升高, 政府财政和公共债务状况急剧恶化, 最终美国在2011年夏爆发了公共债务上限危机。到目前为止, 尽管债务上限危机暂告一段落, 但美国爆发债务危机的可能性依然存在。与欧洲主权债务危机相比, 美国公共债务问题其实更加严重。尽管相较于“欧猪五国”, 美国公共债务水平较低, 但其公共债务绝对额庞大, 公共债务水平亦高于欧元区平均水平, 美国联邦财政和经济前景亦不乐观, 其公共债务是否可持续是一个很大的疑问。
一 文献综述 (一) 公共债务可持续性的含义可持续的公共债务必须能防止政府的破产, 但至今学术界并没有形成一致的、明确的债务可持续性的定义。比如, 国际货币基金组织(IMF, 2002)认为, 如果在未来不需要对财政收支差额进行不现实的大幅调整条件下, 借款人仍被认为能偿还其债务, 那么其债务就是可持续的。联合国贸易发展会议和联合国发展计划署(UNCTAD/UNDP, 2006)对债务可持续性的定义是:在可接受的经济增长率下, 可持续的债务水平, 能保证债务国完全履行当前和未来债务义务, 而不必求助于进一步债务减免或重组, 并能避免债务的积累。对这种窘境, 著名国际经济学家Wyplosz(2007)曾指出, “债务可持续性是一个棘手的问题。其重要性显而易见, 却又难以定义。这种情况在经济学研究中并非闻所未闻; 甚至连价格稳定和充分就业这样模糊的概念都能以一定的精度计算, 而债务可持续性却甚至不能被测度”。
(二) 国外关于美国公共债务可持续性的研究相较于公共债务可持续定义上的尴尬处境, 公共债务可持续性的研究方法却是另一派景象。正如Sturzenegger和Zettelmeyer(2006)所言, 公共债务可持续性研究与其说是一门科学, 不如说是一门艺术, 它涉及大量的替代方法。
关于公共债务可持续性的理论研究, 一般从一国政府的单期预算约束方程出发, 推导出一个关于政府债务占GDP之比以及政府基本预算赤字占GDP之比等变量在内的差分方程(Polito & Wickens, 2005)。其基本政策含义是在基本预算赤字占GDP的比例不发散前提下, 债务占GDP的比例是否发散, 取决于经济中的实际利率与实际经济增长率的相互关系。
实证研究方面, 一种比较直观的方法是“特定参考值判定法”, 即将一国的财政赤字和公共债务占GDP的比例与特定的阈值进行比较, 以得出公共债务是否可持续的结论。欧盟《马斯特里赫特条约》(以下简称“马约”)就是一个典型的例子, 它规定各成员国的财政赤字与GDP之比不得高于3%, 公共债务占GDP之比不得高于60%, 超过上述指标的财政状况就被判定为不可持续。
另一种比较经典的研究方法是“跨期预算约束框架”(Inter-temporal Budget Constraint, 简称IBC)。该分析框架在分析过程中涉及多个单期政府预算约束的迭代, 具有跨期约束的政策含义。具体来说, 就是对某个国家政府债务占GDP的比例以及基本预算赤字占GDP的比例的时间序列进行分析, 其研究思路为:一是检验财政收入和包含利息支付的财政支出是否存在协整关系; 二是检验基本盈余序列和公共债务序列是否存在协整关系。在跨期预算约束框架内, 研究者关注的另一个问题是财政政策的结构变化, 包括结构变化是否存在以及出现的时间。对结构断点的判断和时间选择的处理方式有两种:外生性选择和内生性检验。外生性选择主要是通过对政策的分析和对数据的观察来实现; 内生性检验则是通过统计和计量检验来发现数据结构的变化, 从而判断政策断点。尽管研究者使用的样本区间和数据频率不同, 检验方法各异, 而且得出的结构断点位置不尽相同, 但可以肯定财政政策发生过结构变化, 结构变化问题不容忽视。
跨期预算约束框架的广泛应用也受到来自各方的质疑和批评。Bohn(2007)证明, 实际上只要公共债务序列有限次差分后是平稳的, 或财政收入和含利息财政支出序列任意阶差分后是平稳的, 且不需要两者满足协整关系, 就会得出财政政策满足跨期预算约束条件的结论。有鉴于此, Bohn建议采用不要求财政指标序列具有平稳过程性质的财政反应函数(Fiscal Reaction Function)分析框架。
根据税收平滑(Tax Smoothing)理论, 财政反应函数框架将政府财政盈余占GDP的比例作为被解释变量, 将前一期公共债务占GDP的比例作为解释变量, 同时纳入临时性政府支出占GDP的比例和偏离潜在产出的产出波动占GDP的比例作为控制变量, 如果政府的行为对公共债务有充分的反应, 以至基本盈余展现出误差修正过程, 则债务占GDP的比例将由于财政盈余的出现而不断降低, 债务比例会呈现出均值复归(mean-reverting)的特征, 此时公共债务满足可持续性要求。
但财政反应函数检验方法也有缺陷。首先, 线性形式的财政反应函数只能大致反映研究期间财政盈余对公共债务的反应关系, 但不能细致反映各年或个别时期内的反应。其次, 该方法忽略了财政盈余对公共债务反应的限度(limits)问题, 当接近或到达上限后, 债务比例将呈现不断上升趋势, 公共债务将是不可持续的, 尽管此时反应系数可能仍然为正。
(三) 国内关于美国公共债务可持续性的研究美国公共债务上限危机爆发前, 国内对债务可持续性的讨论只是在理论层面上。危机爆发后, 国内出现了一些探讨美国公共债务可持续性的实证文献。比如, 余永定(2000)就提出了一个财政可持续分析的理论框架, 认为对系统稳定性而言, 具有决定性意义的不是债务初始值的大小, 而是财政赤字占GDP之比和经济增长速度。如果经济增长速度小于或等于零, 则国债占GDP的比例将趋于无穷大。潘宏胜(2010)结合美国公共债务的绝对规模和相对水平, 对影响其可持续性的经济增长前景、实际利息负担、财政支出规模以及危机损失评估等因素进行了分析。实证研究方面, 基于实际经济增长率大于或等于国债实际利率, 公共债务才具有可持续性的判别原则, 陈建奇(2011)对1985—2007年美国国债利率和经济增长率进行了比较。张军和厉大业(2011)参考Bohn(1998)的财政反应函数框架, 将经济增长、公共债务和基本预算盈余滞后项作为解释变量, 对基本预算盈余进行了回归。有别于以上研究, 张明(2009)从美国国债市场的供需缺口角度对美国财政可持续性进行了研究, 这一视角较有新意, 但该方法更适用于短期形势分析, 对中长期分析的参考意义不大。
综上所述, 通过比较经济增长率与公共债务利率来分析公共债务可持续性具有基础性意义, 这种方法衡量了宏观经济环境; 而基于财政公约的特定比例分析, 尽管具有较大的随意性, 但仍具有一定的合理性和较大的政策参考意义; 跨期预算约束框架尽管不是判断债务可持续性的充分必要条件, 但作为充分条件, 财政收支以及预算盈余和债务的平稳、协整是良好财政纪律的表现, 是市场判断政府财政状况的重要参照; 用财政反应函数研究财政盈余和公共债务的反应程度, 在思路上比预算约束框架有较大的进步。本文将综合运用上述四种方法来考察美国公共债务的可持续性, 以下的结构安排是:第二部分是研究对象的界定, 阐述美国公共债务的具体含义和分类; 第三部分对美国公共债务可持续性进行实证研究; 最后是结论。
二 美国公共债务的界定及其规模在美国, 不同于包括联邦政府债务及各州和地方政府债务在内的一般政府债务(Gross Government Debt), 公共债务通常指联邦债务(Federal Debt)。联邦债务总额(Gross Federal Debt)是由财政部和其他联邦政府机构发行的所有尚未到期的联邦政府债务总额。根据债务是否可以在公开市场进行交易, 联邦债务可以划分为可交易债券(Marketable Securities)和不可交易债券(Non-marketable Securities)两种; 根据债务持有人性质不同, 联邦债务可以分为公众持有的债务(Debt Held By the Public)和政府账户持有的债务(Debt Held By Government Accounts)。美国公共债务的独特之处在于, 它还可以指联邦债务中由公众持有的部分。公众持有的债务是向公众(即联邦政府以外的投资者)出售的联邦债券的价值, 基本上代表了联邦政府通过借债为赤字融资的数额, 近似代表信贷市场上联邦融资需求。本文重点关注联邦债务总额和其中公众持有的债务部分。
截至2011年12月, 联邦债务总额为15.22万亿美元, 公众持有部分为10.45万亿美元。图 1和图 2给出了1970—2011年的联邦债务及其构成变化情况。从绝对数额上看, 两种债务的数额都在增加, 尤其是在20世纪80年代后, 增速都在加快。从占GDP的比例上看, 70年代以来两者总体上都呈上升趋势, 特别是此次经济危机期间, 联邦债务总额占GDP的比例已接近100%, 公众持有部分占GDP的比例也超过60%。
|
图 1 联邦债务及公众持有部分绝对额 注:数据来源于President Economic Report, 2012, 1970—2011;图 1中的单位为万亿美元。 |
|
图 2 联邦债务及公众持有部分占GDP比例 |
经济理论将公共债务的可持续性视为不会导致债务占GDP的比例不断增加。如果真实利率小于经济增长率, 赤字就能维持下去, 而不会导致债务比例的增加, 此时公共债务和财政政策都是可持续的; 相反, 如果政府以等于或大于经济增长率的利率借债, 那么持续的财政赤字意味着债务比例将无限增长, 最终将超过经济的偿还能力, 此时公共债务和财政政策将是不可持续的。
图 3为1970—2011年美国真实经济增长率与以CPI为基础的真实公共债务利率走势图①。20世纪70年代, 美国真实经济增长率一直高于真实公共债务利率; 但这种情况在80年代发生了转变, 整个考察期间, 总体上, 真实经济增长率低于真实公共债务利率, 这意味着未来债务比例有温和增长趋势, 从而债务可持续性将恶化。
|
图 3 美国真实经济增长率与真实公共债务利率走势 数据来源:根据Bureau of Economic Analysis (BEA)和Treasury Direct数据整理得。 |
特定参考值判定就是比较实际财政赤字或公共债务水平和设定的财政赤字或债务水平阈值, 超过该阈值的财政政策就是不可持续的。最典型的是欧盟“马约”中的财政趋同标准。根据“马约”规定, 各成员国财政赤字占GDP的比例不得超过3%, 政府债务占GDP的比例不得高于60%。
根据图 4和图 5, 在整个考察期内, 美国联邦政府预算大部分时间都是财政赤字, 平均水平接近3%的警戒线, 这种状况在金融危机期间有进一步恶化, 赤字率最高曾接近GDP的10%;联邦债务水平经历了较大变化, 但其占GDP比例的平均水平在60%的警戒线之上, 金融危机以来, 债务水平攀升, 占GDP的比例已超过100%, 正在接近战后最高水平, 债务不可持续。
|
图 4 美国联邦预算赤字占GDP比例 |
|
图 5 美国联邦债务占GDP比例 数据来源:President Economic Report, 2012, 1970—2011。 |
经济的动态有效性要求政府财政政策必须要满足跨期预算约束, 这是跨期预算约束框架的理论基础。在跨期预算约束成立时, 政府依然能在短期内实行基本预算赤字的财政政策, 但是这样的政策是不可持续的, 因为债务额将随时间迅速膨胀, 最终财政政策将会改变, 或减少政府支出, 或增加税收, 以增加基本盈余。跨期预算约束有两种检验方法:(1)财政收入和支出的序列是否协整, 且系数是否为1;(2)基本盈余和公共债务的序列是否协整, 且系数是否为正, 并近似于现实利率平均水平。它们可分别表示为:
| $ T_{t}=a+b G_{t}+\varepsilon_{t} $ | (1) |
即财政收入Tt和财政支出Gt应满足协整关系, 且b=1。
| $ s_{t}=a+\beta \cdot d_{t}+\varepsilon_{t} $ | (2) |
即基本预算盈余与公共债务序列应满足协整关系, 且β=r。
接下来的任务就是对模型(1)和模型(2)进行协整检验, 并验证各自的约束条件是否得到满足。本文使用的检验方法是Johansen协整检验, 数据为美国经济分析局(BEA)提供的1970—2006年美国财政季度数据①, 使用的计量软件为Eviews 5.1。首先使用ADF单位根检验方法, 检验变量的水平值和一阶差分序列是否平稳, 结果见表 1。对于财政收入和财政支出序列, 无论是绝对数序列还是占GDP的比例序列都是非平稳的, 说明有可能存在协整关系。但对于基本预算盈余与公共债务序列, 其基本预算盈余的绝对数序列表现出平稳性, 而公共债务的绝对数序列则是非平稳的, 因此不可能存在协整关系; 而两列数据占GDP的比例序列却都是非平稳的, 并且各自一阶差分序列也是平稳的, 有可能存在协整关系。其次对财政收入和财政支出的绝对数序列和占GDP的比例序列, 以及基本预算盈余和公共债务占GDP的比例序列进行Johansen协整检验, 结果见表 2。由表 2可知, 无论是绝对数序列还是占GDP的比例序列, 财政收入序列和财政支出序列都不存在协整关系。这意味着美国财政政策并非量入为出, 一定程度上也解释了其长期的财政赤字; 但基本预算盈余与公共债务占GDP的比例序列之间存在唯一一种协整关系, 不过, 是否满足债务的可持续性条件还要看协整向量。
| 表 1 单位根检验结果 |
| 表 2 Johansen协整检验结果 |
鉴于财政政策的结构变化问题的重要性, 在考察协整向量之前, 本文使用BP检验①, 又称多重结构变化检验, 对基本预算盈余和公共债务协整关系的结构变化问题进行考察。
对模型(2)检验使用的统计软件为Gauss 9, 检验结果见表 3, 图 6为相应的结构变化分区图。从检验结果可知, 无论是在整个考察区间内, 还是在各个子区间内, 基本预算盈余与公共债务的协整系数显著为负, 这意味着尽管两者存在协整关系, 但并不满足债务可持续性条件, 从而美国公共债务是不可持续的。
| 表 3 多重结构变化检验结果 |
|
图 6 结构变化分区图 |
财政反映函数检验背后的思想是, 在财政赤字占GDP的比例和公共债务占GDP的比例的关系中, 加入临时性政府支出和经济波动作为控制变量, 就可分离出被政府支出和经济周期波动所掩盖的财政盈余对公共债务的反应。Bohn(1998)对财政反应线性形式的财政反应函数模型进行了检验, 为进一步探讨反应函数的形态, 本文在其基础上, 应用非参数和半参数方法, 对非线性财政反应函数的具体形态进行估计, 以期对基本预算盈余对公共债务反应系数进行更细致的考察。
1.线性财政反应函数及其估计结果。线性财政反应函数模型设定为:
| $s_{t}=\rho \cdot d_{t}+a+a_{G} \cdot G V A R_{t}+a_{Y} \cdot Y V A R_{t}+\varepsilon_{t} $ | (3) |
其中, st为基本盈余, dt为公共债务水平, GVARt为政府支出波动替代变量, YVARt为经济波动替代变量。使用1970—2006年美国财政季度数据, 对线性财政反应函数的估计结果见表 4。估计结果使用Eviews 5.1得到, 模型调整后的R2为0.476。基本预算盈余与公共债务比例的反应系数为正, 且在1%的水平下显著。政府支出波动和经济周期波动的系数也均显著, 且其符号符合理论预期。财政盈余对公共债务的反应系数为0.066 3, 意味着基本预算盈余与公共债务水平存在正相关关系。从整个考察区间来看, 表明财政纪律较好。
| 表 4 线性财政反应函数估计结果 |
2.非线性财政反应函数及其估计结果。非参数和半参数方法的优势在于, 可以允许基本预算盈余对公共债务比例变化的反应系数随时间变化, 这样不仅可以检验反应系数是否为正, 还可以发现基本预算盈余对公共债务反应系数随时间的变化情况。具体过程为:首先应用非参数方法, 关注基本盈余、债务占GDP的比例之间的非线性关系, 给出基本盈余对公共债务比例变化的反应函数; 其次, 使用半参数方法, 估计基本盈余和公共债务之间的变系数模型。非参数财政反应函数模型为:
| $ s_{t}=\alpha+f_{1}\left(d_{t}\right)+f_{2}\left(G V A R_{t}\right)+f_{3}\left(Y V A R_{t}\right)+\varepsilon_{t} $ | (4) |
其中, fl(·)表示平滑的非参数函数, 其函数形式是不确定的。
模型估计使用的计量软件是R 2.5.2, 估计结果见图 7, 调整后的R2=0.533, 高于线性模型估计结果, 同时相较于线性模型估计残差(散点), 非参数模型估计残差(实线)波动更小, 这些都显示与线性模型相比, 非参数模型更现实地刻画了基本盈余对公共债务变化的反应情况。估计结果显示, 基本预算盈余对公共债务比例的反应系数在债务比例较大区间内均为负, 只有在债务比例达到45%左右的小区间内为正; 从总体上看, 基本预算盈余对公共债务增加无正向反应或反应很微弱, 这意味着公共债务比例有发散趋势, 即公共债务不具有可持续性。
|
图 7 非参数估计结果 |
根据非参数估计结果, 债务比例的非线性较强, 政府支出和经济波动两个变量的非线性性不强。根据税收平滑理论, 财政赤字应用于弥补税收收入的下降, 这意味着无论从实证角度还是理论层面, 有理由假定政府临时支出和经济周期因素对基本预算盈余占GDP比例的影响不随时间变化, 这样通过半参数模型, 便可以专注于考察基本盈余和债务关系随时间变化的情况。为此, 将政府支出和经济波动变量设定为线性形式, 将基本盈余与债务关系设定为非线性关系。半参数财政反应函数模型为:
| $ s_{t}=\alpha+\beta_{1}(t) d_{t}+\beta_{2} G V A R_{t}+\beta_{3} Y V A R_{t}+\varepsilon_{t} $ | (5) |
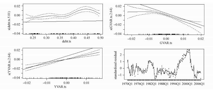
其中, βl(t)刻画了基本预算盈余对公共债务占GDP比例变化的时间效应。图 8显示半参数模型的估计结果, 调整后的R2为0.911, 高于线性和非参数估计结果, 估计精度有进一步的改善。图中两条虚线表示95%的置信区间, 实线表示估计系数的点估计结果。从图 8可以看出, 与线性模型估计结果中一直为正且较高的反应系数相比, 半参数模型中基本预算盈余对公共债务比例的反应系数在1980年代以前曾一度为负, 之后虽然经历了一个上升过程, 但2000年后一直呈下降趋势, 表明进入21世纪以来, 财政纪律及政府对稳定债务比例关注度的下降, 也意味着债务比例将有发散趋势, 从而公共债务是不可持续的。
|
图 8 半参数估计结果 |
本文综合运用传统的国债利率和经济增长率关系分析、政府预算赤字和公共债务的比例指标分析、经典的跨期预算约束框架和最新的财政反应函数实证检验, 分析了美国公共债务可持续性, 结果显示, 1970—2011年, 总体上, 美国经济增长率低于公共债务利率水平, 公共债务占GDP的比例有温和增长的趋势; 联邦财政赤字和债务水平超过了“马约”规定的财政趋同指标, 财政状况较差; 财政收入与支出之间不存在协整关系, 财政盈余比例与公共债务比例之间存在协整关系, 但协整系数不符合理论和实际; 尽管整个区间内, 财政盈余对公共债务的反应系数为正, 但细致观察可以发现, 反应系数并非一直为正, 且进入2000年以来反应系数大幅下降。因此, 我们认为, 2008年金融危机爆发前, 美国公共债务已偏离可持续轨道, 但由于债务水平较低, 短期内仍有一定增加余地; 金融危机恶化了联邦财政, 公共债务水平极大提高, 财政空间受到急剧压缩, 美国公共债务表现出不可持续的特征。
债务问题的解决不外乎以下几种方法:债务违约、财政整顿、经济增长以及低利率和通货膨胀的结合。债务违约是下策, 除非万不得已, 一国政府不会选择该种方法, 而且美元作为国际货币, 美国可以通过印刷美元来还债; 财政整顿是解决问题的根本方法, 但目前看, 2011年债务上限危机后通过的预算法案不足以从根本上解决美国的财政问题, 切实有效的财政整顿遥不可及; 通过经济增长来削减公共债务的方法看似振奋人心, 但历史经验表明, 公共债务高企时期也常常是经济增长低迷时期, 因此这种方法并不可行; 相比之下, 美国政府更有可能通过创造低利率和温和通货膨胀的经济环境来刺激经济增长, 缓解和解决公共债务问题。对此, 各国政府和央行应当给予充分关注, 并考虑应对措施。
陈建奇, 2011, 《后危机时代美国财政可持续性研究》, 《世界经济研究》第3期。 |
潘宏胜, 2010, 《美国公共债务的可持续性分析》, 《经济社会体制比较》第4期。 |
张军、厉大业, 2011, 《美国政府债务长期可持续性分析——基于一般均衡条件下的代际预算约束模型》, 《国际金融》第8期。 |
张明, 2009, 《美国的财政政策能够持续吗?》, 中国宏观经济形势报告。 |
余永定, 2000, 《财政稳定问题研究的一个理论框架》, 《世界经济》第6期。 |
Bai, Jushan and Perron, Pierre, 1998, "Estimating and Testing Linear Models with Multiple Structural Changes", Econometrica, Econometric Society, Vol.66, No.1. |
Bai, Jushan and Perron, Pierre, 2003, "Computation and Analysis of Multiple Structural Change Models", Journal of Applied Econometrics, John Wiley & Sons, Ltd., Vol. 18, No.1.
|
Bajo-Rubio O., Diaz-Roldan C. and Esteve V., 2008, "US Deficit Sustainability Revisited: A Multiple Structural Change Approach", Applied Economics, Taylor and Francis Journals, Vol. 40, No.12.
|
Bohn, H., 1995, "The Sustainability of Budget Deficits in a Stochastic Economy", Journal of Money, Credit and Banking, Blackwell Publishing, Vol. 27, No.1.
|
Bohn, H., 1998, "The Behavior of U.S. Public Debt and Deficits", The Quarterly Journal of Economics, MIT Press, Vol. 113, No.3.
|
Bohn, H., 2007, "Are Stationarity and Cointegration Restrictions Really Necessary for the Intertemporal Budget Constraint?" Journal of Monetary Economics, Elsevier, Vol. 54, No.7.
|
Hakkio, C. S. and Rush, M., 1991, "Is the Budget Deficit 'Too Large'?", Economic Inquiry, Vol.29. |
Hamilton, J. D. and Flavin, M., 1986, "On the Limitations of Government Borrowing: A Framework for Empirical Testing", American Economic Review, Vol.76, No.4. |
Haug, A. A., 1991, "Cointegration and Government Borrowing Constraints: Evidence for the United States", Journal of Business & Economic Statistics, Vol.9, No.1. |
Macdonald, R., 1992, "Some Tests of the Government's Inter-temporal Budget Constraint Using US Data", Applied Economics, Vol.24, No.12. |
Martin, G. M., 2000, "US Deficit Sustainability: A New Approach Based on Multiple Endogenous Breaks", Journal of Applied Econometrics, Vol.15, No.15. |
Polito V. and Wickens M., 2005, Measuring Fiscal Sustainability, CDMA Conference Paper Series 0503, Centre for Dynamic Macroeconomic Analysis.
|
Quintos, C. E., 1995, "Sustainability of the Deficit Process with Structural Shifts", Journal of Business & Economic Statistics, Vol.13, No.4. |
Sturzenegger and Zettelmeyer, 2006, Debt Defaults and Lessons from a Decade of Crises, MIT Press.
|
Trehan, B. and Walsh, C.E., 1988, "Common Trends, the Government's Budget Constraint and Revenue Smoothing", Journal of Economic Dynamics and Control, Vol.12, No.2-3. |
Trehan, B. and Walsh, C.E., 1991, "Testing Intertemporal Budget Constraints: Theory and Applications to U. S. Federal Budget and Current Account Deficits", Journal of Money, Credit and Banking, Vol.23, No.2. |
Wilcox, D. W., 1989, "The Sustainability of Government Deficits: Implications of the Present-value Borrowing Constraint", Journal of Money, Credit and Banking, Vol.21, No.3. |
Wyplosz, C., 2007, "Debt Sustainability Assessment: Mission Impossible", Review of Economics and Institutions, Vol.2, No.3. |
