职业伤害是与工业化相生的客观风险,其归责雇主后将带来补偿定价问题。非致死职业伤害减损劳动者劳动能力,补偿定价因此依据劳动能力减损程度以工资收入折算。劳动能力减损依据丧失时间与程度划分为暂时部分失能、暂时全部失能、永久部分失能和永久全部失能。永久失能后一般都以年金津贴的方式来补偿与保障伤残者的基本生活。非致死职业伤害在我国俗称为因工伤残。我国《工伤保险条例》第三十五条规定:职工因工致残被鉴定为一级至四级伤残的,保留劳动关系,退出工作岗位,享受一次性伤残补助金、按月支付伤残津贴以及退休后接续到养老保险等永久失能待遇。可见,在我国工伤保险中一至四级伤残约等于完全丧失劳动能力。
然而,高风险行业的一线劳动者主要是农民工,基于以下三个主要原因,其因工伤残的长期待遇往往难以落实。首先,工伤保险统筹层次低,待遇发放没有实现社会化,因工伤残的农民工难以跨省获取待遇。其次,户籍和工作性质等原因导致的流动性,使得因工伤残的农民工领取长期待遇的成本高。最后,过半的农民工没有参加工伤保险①,如被认定为永久丧失劳动能力后,根据《工伤保险条例》第六十二条的规定:应当参加工伤保险而未参加工伤保险的用人单位职工发生工伤的,由该用人单位按照本条例规定的工伤保险待遇项目和标准支付费用,然而,长期待遇的领取与企业的经营状况和存活时间密切相关,任何原因导致的企业不可持续都会危及因工伤残农民工的长期待遇的存续。为保障农民工权益,各统筹地区出台了长期待遇一次性领取的变通规定,但由于标准不一,也出现了各地补偿待遇差异大、补偿待遇被压低、工伤保险丧失相较于商业雇主责任险的优势等方面的争议。2013年,国家人力资源和社会保障部在《人力资源和社会保障部关于执行〈工伤保险条例〉若干问题的意见》中规定:“由工伤保险基金支付的各项待遇应按《条例》相关规定支付,不得采取将长期待遇改为一次性支付的办法”。但该规定仅针对由工伤保险基金支付的各项因工伤残待遇,对于由单位承担的工伤保险待遇,或因未依法缴纳工伤保险而由单位承担的全部工伤保险待遇,伤残职工仍可选择一次性支付的方式,支付方式仍沿用2013年以前的相关规定。由于外出农民工中过半者未参加工伤保险,不能享受工伤保险基金支付伤残待遇的仍占多数,现阶段研究因工伤残待遇的一次性支付办法对保障未参加工伤保险的农民工的权益仍具有重要意义。本文所采用的各地区工伤保险伤残待遇一次性支付办法和计算伤残待遇所使用数据的样本期均截至2012年底。
如何对农民工工伤补偿待遇的政策变迁进行解释,如何对新政策的结果进行评估与预测,既关系到政策的合理性及其执行的成效,又涉及农民工工伤补偿权利的公平与具体落实。因此,必须对长期待遇一次性支付的利弊进行量化分析,其中,各地在农民工工伤补偿长期待遇的一次性支付政策方面存在什么样的差异,政策差异下补偿水平有何不同,如何判断差异的合理性,是首先需要回答的问题。
二 工伤补偿水平比较标准的确立我国现有农民工工伤保险待遇方面的研究着重描述农民工职业伤害现状以及工伤补偿待遇权利的缺失即工伤后难以获取补偿待遇现状(郑广怀,2005;简新华等,2007;宗成峰等,2007;朱玲,2009;刘林平等,2011;邓大松等,2014;何欣等,2015)。有学者研究了一至四级伤残待遇政策规定本身的问题,着重分析了一至四级伤残待遇如何与养老保险待遇衔接(栾居沪,2006;童韶琴,2006)。在一次性补偿问题方面,王靖洋等(2007)和陈福祝等(2010)从实务出发描述了各地补偿的差异,并指出由于各地一次性补偿标准不一致导致待遇有高有低,带来了权利不公平。但他们的研究仅停留在经验介绍与分析层面,未对什么是合理的补偿待遇标准进行理论分析,也没有对各地的补偿水平进行严格的定量测算,因此无法比较各地补偿水平的实际差异。
各地一次性支付政策的差异会导致农民工因工伤残获取待遇的差异。如何判断这种待遇差异的合理性与科学性呢?我们首先要确立判断的标准。
职业伤害本质上是劳动力资产在与资本的交换过程中受损。对受损的劳动力如何定价,将决定其补偿水平。一般来说,工伤发生前,劳方与资方难以达成补偿价格的共识, 因为资方只愿意补偿劳动力资产的重置成本,即:
| $ Z C=W \times(R A-I A) $ | (1) |
其中,ZC代表劳动力资产重置成本,W代表工资,RA代表退休年龄,IA代表受伤时的年龄。而劳动者除了要求补偿丧失的工资收入外,还得考量依附于受损劳动力的幸福价值,即:
| $ Z J=W \times(R A-L A)+R H $ | (2) |
其中ZJ代表劳动力资产价值,RH代表依附于受损劳动力的幸福价值。
那么,根据谁的标准定价?工伤发生前难以协商一致,可工伤发生后必须定价,劳资双方难以达成一致就得有第三方强制机构介入。其中,法院的判决起着最终裁定的作用。纵观各国工伤补偿标准的发展,法院早期一般都以资产重置成本作为补偿的依据,随着社会发展,也略微考虑依附于受损劳动力的幸福价值。因此,多数国家的工伤补偿基本上都是填补劳动者丧失的工资收入。
现代意义上的工伤保险是在确定雇主责任和补偿标准后的分散雇主财务风险的机制。然而,随着社会保障体系的不断完善,有些发达国家社会保障体系不再按收入不足(即贫困)的原因分立不同的保障项目,而是从收入不足的结果上进行干预,例如将因工伤失能与先天残疾或其他原因所致的残疾并入失能救助制度体系甚至国民保障体系之中。英国即是其一,英国并入国民保障体系之中的工伤补偿制度,消减了工伤的侵权性质,并提供统一的生活保障。
基于上述分析,我们确立比较各地区因工伤残补偿水平的标准,其一是劳动能力丧失导致的收入损失补偿水平;其二是保障生活所需的水平。
三 各省份农民工一至四级因工伤残待遇一次性支付政策根据查阅各省份人力资源和社会保障部门的网站以及对工伤保险相关部门进行电话和邮件咨询的结果,截至2014年4月,除了河南、青海、西藏和广西4个省份外,其他省份都制定了相应的农民工一次性领取工伤保险长期待遇的实施办法。本文根据各地补偿的依据不同,将其支付模式分为三类。
第一类支付模式,是根据伤残等级和工伤者的年龄,一次性支付固定数额的补助金额。采用此种补偿政策的省份有上海、北京、山东和陕西。这4个省份的具体补偿方式见表 1。
| 表 1 补偿金额为固定值的省份的一次性补偿标准(单位:万元) |
第二类支付模式,是根据伤残等级,一次性支付一定月数的以本人工资、社会平均工资或者月伤残津贴额为基数的补偿金额。采用这类补偿政策的省份有天津、黑龙江、吉林、辽宁、河北、山西、内蒙古、宁夏、云南、重庆、贵州、湖南、安徽、浙江和广东。
根据补偿标准计算基数的不同,可将这些省份再次分类。采用本人工资为计算基数的有天津、黑龙江、吉林、宁夏、湖南和安徽;采用社会平均工资为计算基数的有辽宁、河北、内蒙古、云南、贵州和浙江;按照原长期待遇支付的月应享受待遇为计算基数的有山西、重庆、广东。
在采用本人工资作为计算基数的省份中,吉林、湖南和安徽的补偿标准与工伤等级和年龄段都相关,而天津只与年龄段相关,黑龙江和宁夏则仅与工伤等级相关,其具体补偿标准见表 2。
| 表 2 以本人工资为基数的省份的一次性补偿标准(单位:月) |
在采用社会平均工资作为补偿标准基数的省份中,辽宁、浙江和贵州的补偿标准仅与工伤等级相关,河北、内蒙古、云南省则与工伤等级和受工伤者的年龄段都相关,其具体补偿标准见表 3。
| 表 3 以社会平均工资为基数的省份的一次性补偿标准(单位:月) |
按照以原长期待遇支付的应享受待遇为计算基数的省份有山西、重庆、广东。其中,山西根据不同的年龄段和工伤等级确定不同的补偿标准,重庆根据年龄段确定一次性补偿的标准,广东则一律按照一定年数的长期伤残津贴待遇进行发放,其具体的补偿标准见表 4。
| 表 4 以原长期待遇为计算基数的省份的补偿标准 |
第三类支付模式,是以受工伤时的年龄与退休年龄或者预期寿命之差,一次性支付一定数额的补偿。采取这类补偿政策的省份有四川、甘肃、福建、江西、湖北、海南、江苏和新疆。其中,四川、福建、江西和甘肃是按受工伤时的年龄和预期寿命之差来确定一次性支付的伤残津贴;湖北、海南、江苏和新疆则根据退休年龄与受工伤时的年龄之差来确定一次性支付的伤残津贴。
按预期寿命和受工伤时的年龄之差来支付补偿的4个省份当中,四川和福建以统筹地区上年度职工月平均工资为计算基数来计算补偿金;同时,按照全省人口平均预期寿命与解除或者终止劳动关系时的年龄来计算年龄差(不满一年的按照一年计算),年龄差每满一年就发放一定月数的职工月平均工资。而江西和甘肃是以长期领取的待遇标准为计算基数,其中江西默认以人均预期寿命为75岁来计算年龄差,甘肃按照全省人口平均预期寿命与解除或者终止劳动关系时的年龄来计算年龄差;年龄差每满一年,江西的计算基数为长期领取的待遇标准的一定比例,甘肃省的计算基数则是给予全额长期领取的待遇标准。具体如表 5所示。
| 表 5 按预期寿命和受工伤时年龄之差来支付补偿的省份的标准 |
根据退休年龄与受工伤时的年龄之差来确定补偿待遇的4个省份都是采取按照长期待遇领取办法实施时的待遇标准为计算基数。与前面两个根据平均寿命和受工伤时的年龄差距来确定标准的省份不同的是,这4个省份都确定了待遇的封顶标准。具体如表 6所示。
| 表 6 根据退休年龄与受工伤时年龄之差来支付补偿的省份的标准 |
从对各省份农民工一至四级伤残一次性支付政策的梳理可以看出,大部分省份的补偿标准是根据受工伤者的年龄和伤残等级来一次性补助一定月数的本人工资或者社会平均工资。然而,仅用月数来衡量工伤保险的保障水平是存在不足的。前文提及,受工伤者因职业伤害而损失的是未来的劳动力带来的工资收入,而当前采用工资月数来衡量工伤保险的保障水平通常是把补偿标准换算为受伤前的工资水平,并不能很好地满足对未来劳动力工资损失的弥补。
为了衡量一次性伤残待遇对工伤者整个职业生涯劳动力工资损失的补偿程度,我们引入劳动力工资损失替代率。一至四级伤残一次性支付的劳动力工资损失替代率,即为一次性伤残待遇与未来劳动力价格在领一次性补偿待遇当年的贴现额的比率。对未来劳动力价格的贴现额,我们可视之为一份增长型年金的贴现额;根据农民工的投资习惯,我们把贴现率定为当前的一年期定期存款利率即2.5%,年金的增长率定为过去6年内各省份的社会平均工资的平均增长率;一至四级伤残相当于永久完全失能,因此,第一年的年金金额为本人当年工资的100%。以此来计算各省份的未来劳动力价格在一次性补偿政策执行的最后一年即2012年的贴现额,获得2012年各省份农民工一次性伤残待遇的劳动力工资损失替代率。
| $ F=B / P V(L) $ | (3) |
| $ P V=[L /(r-g)] \times\left\{1-[(1+r) /(1+g)]^{T}\right\} $ | (4) |
其中,F代表劳动力工资损失替代率;B为一次性补偿的金额;PV(L)为未来的劳动收入在领取一次性补偿当年的贴现额;L为领取当年的职工本人工资;r为贴现率;各省份的工资增长率g以国家统计局公布的2006年到2013年的各省份城镇单位就业人员平均货币工资指数的平均值来替代,如表 7所示;T为从领取一次性伤残待遇的年龄到退休年龄的差。
| 表 7 各省份工资平均增长率与最低生活保障标准平均增长率 |
我们以当地农民工平均工资来代替农民工本人工资,以计算当地农民工的劳动力工资损失替代率。然而,当前我国各省份农民工工资的统计数据缺失,我们无法直接获得各省份具体的农民工平均工资水平,因而采用以下方法来获取各省份农民工平均工资的区间:我国社会保险的缴费基数为各省份社会平均工资的60%到300%,如职工本人工资不足社会平均工资的60%则按社会平均工资的60%计算;在待遇给付上,如本人工资不足社会平均工资的60%,则也应按60%来发放相应的待遇。由表 8可见,我国从2008年到2013年全国的农民工平均工资与社会平均工资之比在52.74%到60.81%之间,而东部地区的农民工平均工资在当地社会平均工资的45.88%到51.81%之间,中部地区在53.38%到62.76%之间,西部地区在48.34%到55.37%之间。全国农民工平均工资和农民工主要的输入地区——东部地区农民工平均工资与社会平均工资的比例都基本处在50%到60%之间,而西部地区和中部地区的农民工工资与社会平均工资的比例也只有中部地区在2012年超过了60%,其他年份均在60%以下。因此,在缺少各省份可靠的农民工平均工资统计数据的情况下,考虑到各省份农民工工资的升幅,我们以最低缴费工资即各省份社会平均工资的60%计算当地农民工平均工资,以此测算农民工一至四级伤残一次性领取的伤残待遇。
| 表 8 全国及东中西部农民工平均工资与社会平均工资的比例 |
依照一至四级农民工伤残补偿一次性领取政策根据年龄和伤残等级划分补偿标准的特性,本文选取一级伤残和四级伤残,以16岁、35岁和50岁三个关键年龄区间点来比较各省份农民工劳动力工资损失替代率,如表 9所示。
| 表 9 各省份农民工一次性伤残待遇的劳动力工资损失替代率(单位:%) |
从理论上推导,一次性补偿待遇作为对受损劳动力工资收入的弥补,应该随工伤时的年龄增长而减少,随伤残等级的加重而增加;劳动力工资损失替代率不应该随年龄出现大的波动,而应该与伤残等级正相关。然而,现实却截然相反。全国16岁农民工工伤者的一级伤残劳动力工资损失替代率的平均值为1.88%,中位数为1.45%;35岁农民工工伤者的一级伤残劳动力工资损失替代率的平均值为12.95%,中位数为12.60%;50岁农民工工伤者的一级伤残劳动力工资损失替代率的平均值为71.89%,中位数为61.01%。一些省份,如天津、吉林、浙江、安徽等,50岁时的一次性伤残待遇的劳动力工资损失替代率大于100%;而大多数省份16岁时的一次性伤残待遇的劳动力工资损失替代率仅在1%左右。可见,我国各省份对劳动力工资损失弥补随着工伤时的年龄的增长而增加,即受伤年龄越小,补偿水平越低。
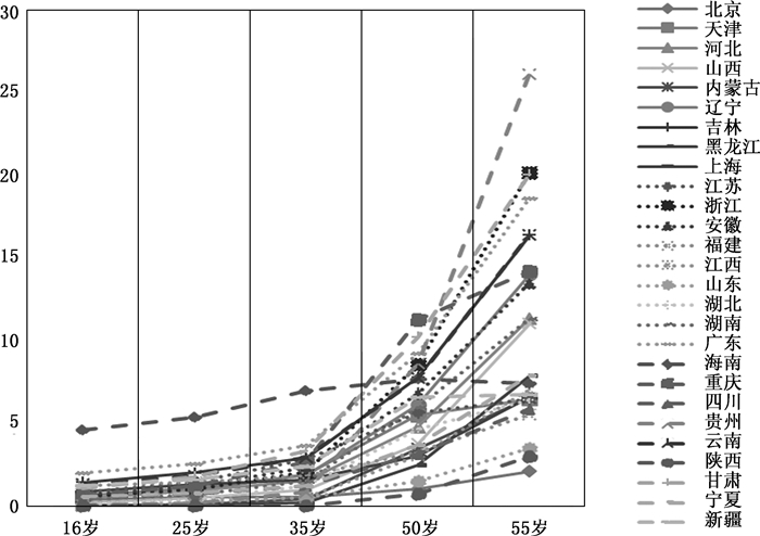
由表 9、图 1和图 2可以看出,各省份的补偿水平差异较大,以一级伤残为例,最高替代水平的浙江与最低替代水平的北京的差距随着工伤时的年龄增长而越来越大,16岁农民工工伤者劳动力工资损失替代率北京为0.47%,浙江为8.41%,相差7.84%;35岁农民工工伤者的劳动力工资损失替代率北京为2.68%,浙江为39.16%,相差36.48%;50岁农民工工伤者的劳动力工资损失替代率北京为10.89%,浙江为191.54%,相差180.56%。因此,工伤时年龄越大,补偿水平的地区差异越大。
|
图 1 农民工一级伤残一次性领取标准的劳动力工资损失替代率比较 |
|
图 2 农民工四级伤残一次性领取标准的劳动力工资损失替代率比较 |
采用固定补偿金额的北京、上海、山东和陕西的劳动力工资损失替代率在全国处于较低水平,这4个省份的固定补偿金额的相关政策是在2006年左右制定的,距离2012年已有6年的时间,而随着工资水平的增长,劳动力工资损失替代率会逐渐下降。
我们选取工伤者风险集中年龄35岁为例,大部分省份农民工一至四级伤残的劳动力工资损失替代率都在20%以内,而最高的浙江也仅为39.16%。可见,对多数农民工工伤者来说,其伤残的一次性补偿远远低于其受损劳动力工资收入的损失。
五 一至四级伤残农民工生活保障水平替代率及其地区差异由上述测算可知,我国农民工一至四级伤残的一次性补偿并没有严格以劳动力的损失作为标准。那么,我国农民工工伤一次性补偿是否考虑了工伤者的生活保障水平呢?接下来我们比较各省份一次性补偿待遇对农民工工伤者伤后生活保障的程度。我们采用各省份的2012年平均最低生活保障标准来衡量各地的基本生活所需,因为最低生活保障线以所在区域家庭基本生存所需消费资料的总量为测量标准,而且最低生活保障线逐年调整,渐趋成熟,是当前观测贫困的主要依据。与前文计算劳动力工资损失替代率的方法相同,我们把未来最低生活保障水平的贴现额看成一份增长型年金的贴现额,根据农民工的投资习惯,我们把贴现率定为当前的一年期定期存款利率即2.5%;年金的增长率定为过去9年内各省份最低生活保障平均标准的平均增长率;第一年的年金金额为各省份一次性补偿政策执行的最后一年即2012年的最低生活保障平均标准。
| $ S=B / P V(M S) $ | (5) |
| $ P V(M S)=[M S /(r-g)] \times\left\{1-\left[(1+r) /\left(1+g^{\prime}\right)\right]^{T}\right\} $ | (6) |
其中,S代表生活保障水平替代率;B代表一次性补偿金额;PV(MS)代表各省份未来各年的最低生活保障平均标准在领取一次性补偿当年的贴现额;MS为各省份领取当年的最低生活保障平均标准;r为贴现率;g′为各省份最低生活保障平均标准的增长率,以2004—2013年的《中国民政统计年鉴》公布的各省份最低生活保障平均水平增长率的平均值来代表(见表 7);T为从领取一次性伤残待遇的年龄与退休年龄的差。我们选取2012年民政部统计的最后一个月各省份最低生活保障平均标准①为其生活保障水平的基数;一次性补偿金为2012年各省份按照农民工一至四级伤残一次性领取政策可以领取的补偿数;选择工伤关键年龄区间点16岁、35岁和50岁,以一级伤残和四级伤残为例,计算各省份农民工一次性伤残待遇的生活保障水平替代率,结果见表 10。
| 表 10 各省份农民工一次性伤残待遇的生活保障水平替代率(单位:%) |
与劳动力工资损失替代率相同,从理论上来看,一次性补偿待遇作为对工伤者退休前基本生活的保障,生活保障水平替代率理论上不应该随年龄出现大的波动,而应该与伤残等级正相关。然而,由表 10可知,全国16岁农民工工伤者一级伤残的生活保障水平替代率的平均值为103.69%,中位数为79.20%;35岁农民工工伤者一级伤残生活保障水平替代率的平均值为255.17%,中位数为216.47%;50岁农民工工伤者一级伤残生活保障水平替代率的平均值为778.90%,中位数为760.39%。可见,工伤时的年龄越接近退休年龄,其基本生活的保障水平就越高。
|
图 3 农民工一级伤残一次性领取标准的基本生活保障水平比较 |
|
图 4 农民工四级伤残一次性领取标准的基本生活保障水平比较 |
由图 3和图 4可见,50岁领取的一次性伤残待遇的生活保障水平替代率明显高于16岁和35岁。以50岁农民工一级伤残生活保障水平替代率为例,贵州达到1382.74%,而该省16岁农民工工伤者的生活保障水平替代率仅为8.73%,差距相当大。16岁一级伤残农民工的生活保障水平替代率最低的省份为陕西,仅0.07%,而最高的海南则达547.90%。可见,同一省份不同年龄之间,以及同一年龄不同省份之间农民工一次性伤残待遇的基本生活保障功能差距很大。
我们仍然以工伤者风险集中的年龄35岁为例,生活保障水平替代率在100%以下说明当地的伤残补偿不能保障农民工工伤者的基本生存,在该水平以下的省份包括北京、内蒙古、黑龙江、江西、山东和陕西。
六 结论本文第四和第五部分比较了各省份农民工一次性伤残待遇的劳动力工资损失替代率与生活保障水平替代率。“低保”标准只是维护基本生存的最低消费标准,低于各地的最低工资标准。因此,我们可以将两个标准综合,将各省份一次性补偿待遇水平划归三级,从低到高依次为:不能完全保障基本生活,即生活保障水平替代率低于100%,劳动力工资损失替代率也低于100%;能够保障基本生活但不完全替代劳动力工资损失,即生活保障水平替代率高于100%,劳动力工资损失替代率低于100%;完全替代和超出劳动力工资损失,即劳动力工资损失替代率大于等于100%。三级分别用字母C、B、A代表,其具体结果如表 11所示。
| 表 11 各省份一次性伤残待遇的综合保障水平比较 |
由表 11我们可以看出,当农民工工伤者的年龄为16岁和35岁时,无论是一级伤残还是四级伤残,所有省份的一次性伤残待遇都不能够完全替代劳动力工资损失。当农民工工伤者的年龄到达50岁时,辽宁、浙江、安徽、重庆、贵州、云南和甘肃的农民工一级伤残待遇能够完全替代劳动力工资损失;四级伤残仅浙江和甘肃能够完全替代劳动力工资损失。
以工伤者风险集中的年龄35岁为例,就农民工一级伤残待遇水平而言,22%的省份保障不了工伤者的基本生活;78%的省份虽然达到“低保”的水平,但属于不完全的劳动力工资损失补偿。就农民工四级伤残待遇水平而言,30%的省份仅仅保障基本生活,70%的省份属于不完全的劳动力工资损失补偿。
因此,我们可以得出结论,我国大部分省份的农民工一至四级伤残一次性待遇标准较低,只有少数几个省份在农民工工伤时的年龄达到50岁,其一次性待遇才能够完全替代劳动力工资损失。大部分省份农民工一至四级伤残一次性待遇标准只能达到最低生活保障的水平,还有一部分省份甚至不能完全保障农民工工伤者的最低基本生活。这与工伤保险弥补损失或保障生活的目标都相差甚远,也充分说明我国农民工一至四级因工伤残待遇的一次性支付标准太低,在当前超过半数外出农民工未参加工伤保险的背景下,大部分倾向于领取一次性支付伤残待遇的外出农民工的基本权益难以得到有效保障。
一至四级伤残一次性支付标准过低也许是2013年“不得采取将长期待遇改为一次性支付”这一部门新规出台的初衷之一。然而,一至四级伤残只允许选择长期待遇的一刀切做法并不能充分保障存活时间短的伤残职工的补偿权益,也与因工死亡待遇差距极大。农民工一至四级伤残待遇乃至一至十级伤残待遇如何改革和完善,将是本文作者一下步探索的问题。
陈福祝、崔荣秀、于晓燕, 2010, 《伤残津贴:定期支付PK一次性申领》, 《中国社会保障》第10期。 |
邓大松、吴菲、熊羽, 2014, 《农民工职业伤害保障缺失深层因素分析》, 《求实》第4期。 |
何欣、吴蕾, 2015, 《返乡工伤致残农民工生存状况研究》, 《人口研究》第1期。 |
简新华、黄锟, 2007, 《中国农民工最新生存状况研究—— 基于765 名农民工调查数据的分析》, 《人口研究》第6期。 |
刘林平、雍昕、舒玢玢, 2011, 《劳动权益的地区差异——基于对珠三角和长三角地区外来工的问卷调查》, 《中国社会科学》第2期。 |
栾居沪, 2006, 《商榷一级至四级工伤职工退休前不应缴纳养老保险费》, 《中国劳动》第11期。 |
童韶琴, 2006, 《论伤残津贴与基本养老保险待遇的衔接》, 《中国劳动》第6期。 |
王靖洋、吴建国, 2007, 《一至四级伤残津贴一次性支付待规范》, 《中国社会保障》第7期。 |
郑广怀, 2005, 《伤残农民工:无法被赋权的群体》, 《社会学研究》第3期。 |
朱玲, 2009, 《农村迁移工人的劳动时间和职业健康》, 《中国社会科学》第1期。 |
宗成峰、朱启臻, 2007, 《农民工生存状况实证分析——对南昌市897位样本农民工的调查与分析》, 《中国农村观察》第1期。 |
