文章快速检索     高级检索
  华东师范大学学报(哲学社会科学版)  2017, Vol. 49 Issue (5): 95-105  DOI: 10.16382/j.cnki.1000-5579.2017.05.012
0

引用本文  

贾应丽, 位雪丽, 刘程程. 货币政策需要“内外兼修”吗?——基于国家间溢出视角的实证研究[J]. 华东师范大学学报(哲学社会科学版), 2017, 49(5): 95-105. DOI: 10.16382/j.cnki.1000-5579.2017.05.012.
JIA Ying-li, WEI Xue-li, LIU Cheng-cheng. Is Monetary Policy Dependent on the Inside and Outside?:An Empirical Study Research from the Perspective of Spillover between Countries[J]. Journal of East China Normal University (Humanities and Social Sciences), 2017, 49(5): 95-105. DOI: 10.16382/j.cnki.1000-5579.2017.05.012.

基金项目

国家社会科学基金重大项目"‘互联网+’推动经济转型机理与对策研究"(项目编号:15ZDC024);国家自然科学基金面上项目"货币总量转向信用总量:全球虚拟经济与实体经济背离机理与宏观政策应对"(项目编号:71473279)

通信作者

刘程程(通讯作者), 中央财经大学统计与数学学院博士生

作者简介

贾应丽, 中央财经大学商学院博士生(北京, 100081);
位雪丽, 数量经济学博士, 河南财经政法大学讲师(郑州, 450046)
货币政策需要“内外兼修”吗?——基于国家间溢出视角的实证研究
贾应丽, 位雪丽, 刘程程    
摘要:在传统经济变量代表性减弱背景下,创新性地选取资产价格指数表征货币政策操作,基于大量基础经济指标构造经济活动因子与价格水平因子,并在TVP-SVAR模型框架下实证考察中美两国的货币政策溢出效应,结果发现,中美货币政策均具有直接与间接两种溢出路径,两国间货币政策溢出效应具有双向性,且不同年份呈现出不同的溢出强度与持续性。可见,即使"以邻为壑"的货币政策在短期内有助于一国国内经济发展,但长期看终将因其他国家的政策博弈而自食其果。因此,经济开放度的提升在为货币政策的国内优化提供便利的同时,也更加凸显出其国际协调的重要性,如此才能实现合作基础上的效益最大化。
关键词货币政策    溢出效应    政策博弈    国际协调    TVP-SVAR模型    
Is Monetary Policy Dependent on the Inside and Outside?:An Empirical Study Research from the Perspective of Spillover between Countries
JIA Ying-li, WEI Xue-li, LIU Cheng-cheng
Abstract: Under the background that the representative of the traditional economic variables has weakened, this paper creatively selects the asset price index to characterize the monetary policy operation, constructs the economic activity factor and the price level factor based on a large number of basic economic indicators, and studies the spillover effects of monetary policy between China and the US under the TVP-SVAR model.The empirical analysis finds that monetary policy has direct and indirect spillover paths, the policy spillover effects between these two countries is bidirectional, and it has different spillover intensity and persistence in different years.The results show that although monetary policy of "shifting one's troubles or difficulties on to neighbors" will contribute to the domestic economic development in the short term, it will be self-reliant in the long run due to the policy game with other countries.The gradual opening up of the economy has facilitated the domestic monetary policy optimization, but it also highlights the importance of international coordination, in order to achieve the maximum efficiency on the basis of cooperation.
Key words: monetary policy    spillover effects    policy game    international coordination    TVP-SVAR    
一 引言

在国际货币体系中,美元的国际货币地位决定其货币政策冲击必然是全球性的。美联储实施零利率政策及量化宽松政策以来,美国经济呈现出相对稳健的复苏态势。2014年10月,美联储宣布结束第三轮量化宽松,开始规划货币政策的正常化路径,其货币政策的迅速转向引起了全世界范围的“不良反应”。在持续的“加息”讨论中,新兴市场国家经历了多轮金融波动和资本流出,尤其是2015年下半年以来的资本流出更为严重。综上可知,美联储的政策举动会产生强烈的外溢效应,表现在量化宽松政策期间新兴市场普遍遭遇流动性泛滥、信贷猛增和泡沫累积等冲击,而当美联储退出量化宽松政策时,新兴市场则面临资本外流和货币持续贬值。另一方面,2008年全球金融危机以来,以中国为代表的新兴市场国家经济迅猛发展,使得美国遭遇的货币政策回溢效应不容忽视。2011年12月和2014年11月,中国相继启动人民币合格境外机构投资者(RQFII)和人民币合格境内机构投资者(RQDII)机制。2015年11月30日,人民币被国际货币基金组织批准加入特别提款权(SDR)篮子,并于2016年10月1日正式入篮。中国作为全球第二大经济体、第一大出口国和第二大进口国,其货币政策溢出效应正逐步显现,且与不同经济体央行的货币政策呈现出较强的联动现象,始于美国次贷危机的全球金融危机已揭示现行国际货币体系过度依赖美元的机制缺陷及其内在不稳定的本质特征,因此,我国央行货币政策溢出效应及特殊情况下的政策选择已成为各国央行和学术界关注的焦点。

从研究视角看,已有文献大多关注发达国家对发展中国家的货币政策溢出效应,并未深入研究全球化背景下新兴市场国家的货币政策对发达国家的回溢影响,忽略了货币政策溢出效应的非对称性问题。Kim和Nguyen(2009)研究指出美国联邦基金利率与欧洲央行政策目标利率的变动对亚太地区12个股票市场的收益及波动具有显著影响。Housman和Wongswan(2011)研究发现美国货币政策对49个经济体(包括中国)的股票指数、长短期利率水平、汇率存在着显著的溢出影响。邢天才和唐国华(2011)研究指出美国的货币政策对中国的货币供应量、利率及政策自主性等三方面均具有明显的外溢效应。邓创和席旭文(2013)对中美两国货币政策宏观调控和外溢效应的分析表明,开放经济条件下,美国货币政策对中国的产出缺口与价格水平均表现出明显的外溢效应。总体上看,现有研究大多关注于货币政策的单向溢出,并未涉及新形势下的政策回溢。

从研究思路看,现有文献大多局限于从个别代表性变量出发探讨货币政策溢出效应,缺乏对货币政策溢出效应的综合考量。Bernanke等(2005)首次采用FAVAR模型从大量宏观经济变量中提取出经济产出因子和价格水平因子,实证分析货币政策冲击对经济目标的溢出效应,研究将“价格之谜”现象归结于单一经济指标信息的局限性。Johansson(2009)研究指出美国联邦基金利率变动是导致中国产出变动的格兰杰原因。张晶(2013)采用VAR模型证实美国持续低利率的货币政策对中国的经济产出和价格水平两个方面均存在显著的溢出效应。黄宪和杨子荣(2016)采用事件分析法研究发现中国货币政策对美国不同期限的国债收益率存在溢出效应。在现有研究体系下,传统经济数据很大程度上依赖于调查统计,通常为保证准确性而牺牲时效性,指标数据选取存在滞后性问题,难以及时地反映经济的发展进程,因此,仅选择单个产出或价格变量作为判断货币政策溢出效应的依据略显单薄。

从研究方法看,目前涉及货币政策溢出效应分析的模型并未考虑到各国在经济形势日趋复杂背景下各经济变量之间关系的时变性问题,导致研究结果存在明显的异质性。邓创和席旭文(2013)使用TVP-VAR模型从货币政策产出效应和价格效应两个方面展开研究,发现中美货币政策的外溢效应存在本质区别且表现出明显的时变特征。因而,综合使用具有时变特征的计量模型来研究货币政策溢出效应,可以准确刻画相同货币政策在不同时间点上的政策效果差异,便于提高对货币政策溢出效应的预测精度,提升央行的政策把控力。

基于国际货币协调的重要性(何国华、谭炯,2014),本文在一个新的实证分析框架下研究货币政策溢出效应,重在考察全球金融危机以来中美货币政策之间的动态关系。首先,在单经济指标代表性受限、宏观经济数据质量较差及存在统计时滞的情况下,采用TVP-FAVAR模型以构造潜在经济活动因子和价格水平因子,作为一国经济产出和通货膨胀的综合衡量指标,以提高指标的代表性及结果的可信度;其次,在经济虚实背离环境下,鉴于股市对政策操作的敏感性较高,我们用一国的股价指数作为货币政策变量,并结合使用常规货币政策变量进行稳健性检验;最后,本文提出两条货币政策溢出路径,从国家间溢出角度综合衡量国家之间货币政策的相互影响,试图为央行的货币政策操作提供经验依据。

二 理论分析

货币政策溢出效应的强度既取决于溢出国的经济实力,也与接受国的经济基本面及市场流动性状况有关,更离不开货币政策操作幅度与市场预期之间的偏离程度。对货币政策效应溢出国来说,接受国会制定相应的政策以对冲操作,通过市场间的交互作用来降低溢出国的货币政策对其国内经济的负面作用;对货币政策接受国来说,溢出国的货币政策扩张会增加本国的资本流入,同时也隐藏着在未来会有大量资本流出的风险,加剧本国的市场波动性,造成本国市场整体不稳定性的上升。为便于理论分析,现做如下假设:第一,仅有两个参与方,其中A国为货币政策效应溢出国,B国为溢出效应接受国;第二,A国在全球货币体系中居于主导地位,其货币政策会对其他国家产生溢出效应,且在制定货币政策过程中会考虑B国可能做出的政策反应,同时,B国在被动接受A国的溢出影响之外也会相机行事,主动制定相关政策以降低溢出效应对本国经济的不利冲击,二者均从自身利益出发,追求利益最大化或损失最小化;第三,假设外部冲击会导致经济偏离均衡产出,且同时影响A国和B国的货币政策,国家之间货币政策的溢出影响为负;第四,博弈双方仅关注通货膨胀和产出,且各均衡量由二次损失函数决定;第五,稳定的货币增长不会影响通胀预期,而货币增长率的变化才会带来通胀预期的调整。下面使用博弈模型来分析A国和B国之间的货币政策博弈过程,根据上述假设,得到博弈双方的损失函数如下:

$\left\{ \begin{array}{*{35}{l}} {{k}_{A}}={{\left( {{\alpha }_{A}}{{x}_{A}} \right)}^{2}}+{{\beta }_{A}}{{\left( {{\mathit{\pi }}_{A}} \right)}^{2}} \\ {{k}_{B}}={{({{\alpha }_{B}}{{x}_{B}})}^{2}}+{{\beta }_{B}}{{({{\mathit{\pi }}_{B}})}^{2}} \\ \end{array} \right.$ (1)

其中kAkB分别为两个国家经济偏离均衡值时的损失值,xAxB分别为两个国家的实际产出对各自均衡值的偏离,πAπB分别为两个国家的通货膨胀率对均衡通货膨胀率的偏离,βAβB分别为两国通货膨胀率对其均衡值偏离的相对权重,权重越大代表一国越关注通货膨胀率。设定两个国家的货币增长率变化分别为gAgB,则根据假定两个国家的通货膨胀率偏离可以分别表示为πA=αAgAπB=αBgB,将其代入式(1) 得到:

$\left\{ \begin{array}{*{35}{l}} {{k}_{A}}={{({{\alpha }_{A}}{{x}_{A}})}^{2}}+{{\beta }_{A}}{{({{\alpha }_{A}}{{g}_{A}})}^{2}} \\ {{k}_{B}}={{({{\alpha }_{B}}{{x}_{B}})}^{2}}+{{\beta }_{B}}{{({{\alpha }_{B}}{{g}_{B}})}^{2}} \\ \end{array} \right.$ (2)

在开放经济条件下,一国经济产出偏离均衡产出的程度,既受国内外货币政策的影响,也受外部冲击的影响,基于国家之间的货币政策溢出事实,可以得到如下关系:

$\left\{ \begin{array}{*{35}{l}} {{\alpha }_{A}}{{x}_{A}}={{\varphi }_{1}}{{\alpha }_{A}}{{g}_{A}}+{{\varphi }_{2}}{{\alpha }_{A}}{{g}_{B}}+{{\varphi }_{3}}{{\alpha }_{A}}{{s}_{A}} \\ {{\alpha }_{B}}{{x}_{B}}={{\mu }_{1}}{{\alpha }_{B}}{{g}_{A}}+{{\mu }_{2}}{{\alpha }_{B}}{{g}_{B}}+{{\mu }_{3}}{{\alpha }_{B}}{{s}_{B}} \\ \end{array} \right.$ (3)

上式中的sAsB分别代表A国与B国受到的外部冲击,φ1φ2φ3分别为A国的经济增长率、B国的经济增长率、A国所受冲击影响后其实际产出偏离均衡产出的权重,μ1μ2μ3分别为A国的经济增长率、B国的经济增长率、B国所受冲击影响后其实际产出偏离均衡产出的权重,将式(3) 代入式(2) 可得:

$\left\{ \begin{array}{*{35}{l}} {{k}_{A}}={{({{\varphi }_{1}}{{\alpha }_{A}}{{g}_{A}}+{{\varphi }_{2}}{{\alpha }_{A}}{{g}_{B}}+{{\varphi }_{3}}{{\alpha }_{A}}{{s}_{A}})}^{2}}+{{\beta }_{A}}{{({{\alpha }_{A}}{{g}_{A}})}^{2}} \\ {{k}_{B}}={{({{\mu }_{1}}{{\alpha }_{B}}{{g}_{A}}+{{\mu }_{2}}{{\alpha }_{B}}{{g}_{B}}+{{\mu }_{3}}{{\alpha }_{B}}{{s}_{B}})}^{2}}+{{\beta }_{B}}{{({{\alpha }_{B}}{{g}_{B}})}^{2}} \\ \end{array} \right.$ (4)

一般情况下,两国的货币政策缺乏协调性,且各国损失函数对本国货币增长率的一阶偏导数为零,根据式(4) 计算出A国与B国的纳什反应函数分别为:

$\left\{ \begin{array}{*{35}{l}} {{g}_{A}}=-\frac{{{\varphi }_{1}}({{\varphi }_{2}}{{\alpha }_{A}}{{g}_{B}}+{{\varphi }_{3}}{{\alpha }_{A}}{{s}_{A}})}{{{\varphi }_{1}}{{\varphi }_{1}}{{\alpha }_{A}}+{{\alpha }_{A}}{{\beta }_{A}}} \\ {{g}_{B}}=-\frac{{{\mu }_{2}}({{\mu }_{1}}{{\alpha }_{B}}{{g}_{A}}+{{\mu }_{3}}{{\alpha }_{B}}{{s}_{B}})}{{{\mu }_{2}}{{\mu }_{2}}{{\alpha }_{B}}+{{\alpha }_{B}}{{\beta }_{B}}} \\ \end{array} \right.$ (5)

式(5) 说明来自A国的冲击首先会影响本国的经济增长率,根据假定可知此时A国货币政策会首先做出调整,同时A国经济增长率的变化和货币政策的变化均会对B国产生溢出效应,影响B国的经济增长率,继而引起B国操作货币政策来对冲A国的溢出效应对本国经济的不利影响。由于表达式中涉及的参数较多,因此溢出效应的大小、影响的持续性等因素均会随各国对实际产出偏离和通货膨胀率偏离的权重、两个国家的经济增长率及所受冲击影响经济增长率的权重的变化而变化。本文正是基于上述国家间货币政策的复杂的溢出关系,通过实证研究来证实国家间货币政策的相互影响特征。

三 构造代表性因子

基于个别变量的SVAR模型来研究货币政策溢出效应的局限性在于:第一,统计时滞导致较多宏观经济变量序列存在缺失值,给研究带来较多不便;第二,在实际经济运行过程中,直接或间接反映货币政策作用效果的因素众多,个别变量很难全面刻画货币政策的综合作用效果;第三,存在经济变量选择的主观性问题,人为选择变量的不一致性可能会颠覆实证结果;第四,SVAR模型包含较多变量,会产生模型的过度参数化问题。随着经济社会结构的变化,模型中变量间参数也逐步呈现出时变特征,采用固定参数模型意味着承认未来经济走势是过去历史的重演,显得相对较不合理。因此,本文在Fernald等(2014)研究的基础上,选取与中美两国经济活动相关的若干基础经济指标,采用TVP-FAVAR模型分别构造中美两国的经济活动因子和价格水平因子,以此作为综合研究国家间货币政策溢出的基础。

(一) 因子构造原理

若用xt(t=1,…,T)表示n×1维的基础经济变量,则P阶滞后的TVP-FAVAR模型如下:

${{x}_{t}}=\lambda _{t}^{y}{{y}_{t}}+\lambda _{t}^{f}{{f}_{t}}+{{u}_{t}},{{u}_{t}}\tilde{\ }N(0,{{V}_{t}})$ (6)
$\left[ \begin{array}{*{35}{l}} {{y}_{t}} \\ {{f}_{t}} \\ \end{array} \right]={{c}_{t}}+{{B}_{t,1}}\left[ \begin{array}{*{35}{l}} {{y}_{t-1}} \\ {{f}_{t-1}} \\ \end{array} \right]+\cdots +{{B}_{t,p}}\left[ \begin{array}{*{35}{l}} {{y}_{t-p}} \\ {{f}_{t-p}} \\ \end{array} \right]+{{\varepsilon }_{t}},{{\varepsilon }_{t}}\tilde{\ }N(0,{{Q}_{t}})$ (7)

其中yt表示s×1维的控制变量,λty为回归系数,用于反映控制变量yt对因子变量集合xt的影响,ft为潜在因子,包含因子组合变量xt的公共信息,λtf为因子载荷,表示因子ft对因子变量集合xt的影响程度,ct代表截距项,(Bt,1,…,Btp)是VAR模型的系数向量,用于表示控制变量和潜在因子的动态变化关系,utεt均为0均值的高斯扰动项,其中VtQt均为时变方差,设Vt为对角矩阵以保证ut的冲击异质性。该模型允许参数随时间而变,便于根据各期因子组合变量xt的不同特征分别提取潜在因子,以保证后续研究的合理性。

式(6) 用于从因子变量集合xt中提取两个潜在因子(经济活动因子和价格水平因子),其优势在于:第一,使用包含潜在因子的多变量系统来预测因子组合变量,可以更好地刻画因子组合变量、控制变量与潜在因子之间的关系;第二,加入控制变量可以消除其对潜在因子的影响,确保得到的潜在因子仅反映与因子变量集合xt相关的信息。

式(7) 表示潜在因子ft与控制变量yt的动态交互作用,参数的时变过程体现了控制变量与潜在因子之间的动态关系,参数均服从多维随机游走过程,即:

${{\lambda }_{t}}={{\lambda }_{t-1}}+{{v}_{t}},{{v}_{t}}\tilde{\ }N(0,{{W}_{t}})$ (8)
${{\beta }_{t}}={{\beta }_{t-1}}+{{\eta }_{t}},{{\eta }_{t}}\tilde{\ }N(0,{{R}_{t}})$ (9)

其中,载荷向量与系数向量表达式如下:

${{\lambda }_{t}}=((\lambda _{t}^{y})\prime ,(\lambda _{t}^{f})\prime )\prime $ (10)
${{\beta }_{t}}=\left( c_{t}^{\prime },vec\left( {{B}_{t,1}} \right) \right.\prime ,\cdots ,vec\left. \left( {{B}_{t,p}} \right)\prime \right)\prime $ (11)

假定式(6) 至式(9) 中的扰动项均不存在自相关,且相互独立,可以通过VtQt来控制模型方差的异质性,通过WtRt来控制参数λtβt的时变性。本文基于上述TVP-FAVAR模型来分别提取中美两国的经济活动因子和价格水平因子,客观真实地反映两国的经济情况和通货膨胀走势,以此作为两国货币政策溢出效应研究的基础。

(二) 数据来源

构造潜在因子的变量包括如下方面:第一,在反映中国经济活动方面,选取工业总产值、固定资产投资、外汇储备、产电量、耗电量等28个指标;第二,在反映中国价格水平方面,选取消费者价格指数、消费者核心价格指数、36个大中小城市消费者价格指数和消费者食物价格指数等四类指数;第三,在反映美国经济活动方面,选取工业生产指数、消费者信心指数、就业人数、社会零售总额、汽车销量等9个指标;第四,在反映美国价格水平方面,选取城市消费者价格指数、能源部门消费者价格指数、公共运输部门消费者价格指数和私人运输部门消费者价格指数等四类指数。所有数据均来源于CEIC数据库,数据频率均为月度,时间跨度均为2000年1月至2016年6月。

根据Fernald等(2014)的做法,视中美两国的国情差异分别对原始数据进行处理。在构造中国经济活动因子和价格水平因子时,首先,假定各变量每年12月份至1月份的增长率等于1月份至2月份的增长率,以平抑各变量在1月和2月的大幅度波动;其次,通过X-12去除季节影响,并对各序列进行对数差分以得到增长率序列。在构造美国经济活动因子和价格水平因子时,仅需要先通过X-12去除季节影响,再对各序列进行对数差分得到稳定的增长率序列即可。

(三) 因子效果评价

本文借鉴Catherine等(2011)的两步估计法构造潜在因子,以降低计算成本,简化估计过程。根据中美两国的数据及滞后阶数判断准则选取4阶滞后的TVP-FAVAR模型,构造出两国的经济活动因子和价格水平因子,结果如图 1图 2

图 1 中国潜在因子及传统指标趋势对比
图 2 美国潜在因子及传统指标趋势对比

图 1图 2分别是中美两国的潜在因子及传统指标对比趋势,从图中因子的大致走势可以看出,其均能较好地刻画出全球金融危机期间两国经济活动和价格水平的大幅下降及随后经济恢复期间的大幅上升。为衡量潜在因子的代表性,将构造的中国经济活动因子与中国工业总产值、美国经济活动因子与美国工业生产指数作趋势对比,结果发现,扣除小范围随机波动后,其走势基本吻合,存在的差异性可由因子构造时信息数据的丰富性来解释。

对比图 1图 2的中美经济活动因子和价格水平因子可以发现,中美两国的经济走势和价格水平变化分别呈现出不同的特征:第一,中国经济活动和价格水平波动频率较低,美国较频繁;第二,中国的经济活动和价格水平走势具有一定的周期性,美国则表现不明显。结合中美两国的潜在因子及货币政策变量来研究两国政策溢出效应,可提高结论的合理性。

四 政策溢出效应分析

货币政策溢出效应有两条作用路径:第一,间接路径,即一个国家的货币政策在影响本国经济活动和价格水平的同时,也可以通过贸易、汇率等渠道影响另一个国家的经济活动和价格水平,进而使得另一国家的货币政策做出调整。第二,直接路径,即一个国家的货币政策变化通过影响另一个国家的经济预期从而带来其政策的相应调整,直观表现为经济活动和价格水平并未变动,但货币政策之间却产生了明显的联动效应。本部分将重点分析全球金融危机以来中美两国的货币政策溢出效应及其随时间而变的特征,以把握后金融危机时代中美两国货币政策的溢出关系,为合理制定货币政策提供参考。

(一) 分析框架

为便于实现模型的估计过程,首先将SVAR模型转变为VAR模型,然后再估计具有时变特征的TVP-VAR模型。常见的SVAR(p)模型形式如下:

$A{{Y}_{t}}={{\tau }_{t}}+{{\phi }_{1,t}}{{Y}_{t-1}}+\cdots +{{\phi }_{p,t}}{{Y}_{t-p}}+{{\gamma }_{t}},{{\gamma }_{t}}\sim N\left( 0,\text{Z} \right)$ (12)

在估计SVAR(p)模型过程中,首先将其转化为VAR(p)模型:

$\begin{align} & {{Y}_{t}}={{A}^{-1}}{{\tau }_{t}}+{{A}^{-1}}{{\phi }_{1,t}}{{Y}_{t-1}}+\cdots +{{A}^{-1}}{{\phi }_{p,t}}{{Y}_{t-p}}+{{A}^{-1}}{{\gamma }_{t}} \\ & \quad ={{\iota }_{t}}+{{\varphi }_{1,t}}{{Y}_{t-1}}+\cdots +{{\varphi }_{p,t}}{{Y}_{t-p}}+{{\xi }_{t}},{{\xi }_{t}}\tilde{\ }N(0,\Omega ) \\ \end{align}$ (13)

TVP-VAR(p)模型的状态空间表示形式为:

$\begin{align} & {{Y}_{t}}={{\iota }_{t}}+{{\varphi }_{1,t}}{{Y}_{t-1}}+\cdots +{{\varphi }_{p,t}}{{Y}_{t-p}}+{{\xi }_{t}} \\ & \quad =[1,{{Y}_{t-1}},\cdots ,{{Y}_{t-p}}][{{\iota }_{t}},{{\varphi }_{1,t}},\cdots ,{{\varphi }_{p,t}}]\prime +{{\xi }_{t}}, \\ & \quad =H{{\mathit{\Phi }}_{t}}+{{\xi }_{t}} \\ \end{align}$ (14)
${{\mathit{\Phi }}_{t}}=\kappa +F{{\mathit{\Phi }}_{t-1}}+{{\zeta }_{t}}$ (15)
$\rm{var}({{\xi }_{t}})=\Omega ,\rm{var}({{\zeta }_{t}})=\mathit{\Sigma },\rm{cov}({{\xi }_{t}},{{\zeta }_{t}})=0$ (16)

其中Yt代表可观测变量,主要包括中美两国的经济活动因子、价格水平因子及货币政策代理变量,Φt表示不可观测状态变量,包含随时间而变的参数,用于体现TVP-VAR(p)模型的时变特征,H为系数矩阵,由观测变量的数据决定,ξtζt分别为观测方程和状态转移方程的扰动向量,二者为不相关的白噪声过程。

在获得TVP-SVAR(p)模型的参数过程中涉及模型识别问题,本文选择符号约束法进行参数识别。需要注意的是,在本研究的识别过程中仅限定货币政策冲击对本国经济活动和价格水平的影响方向,对于其他国家的经济活动、价格水平及货币政策的变动方向则不作限定,以此来观察本国货币政策对其他国家经济变量及货币政策变量的影响。综合考虑两国的数据长度及滞后阶数判断准则将模型的滞后阶数设为2,并合理选择迭代次数(苏治等,2016),确保在有效排除先验分布影响的情况下使得结果收敛,最后使用Gibbs抽样算法和贝叶斯推断方法来实现TVP-SVAR模型的估计过程。

(二) 政策变量选取

美国的联邦基金利率在研究美国货币政策时常被作为政策变量来使用。中国的M2作为衡量市场流动性的指标,也常被用作货币政策中介变量。自2008年全球金融危机爆发以来,各国央行均积极采取宽松的货币政策来刺激本国经济,特别是多次使用利率政策已经使得多个国家达到零利率下限(Zero Lower Bound,ZLB),依据凯恩斯的“流动性陷阱”理论,此时货币政策将失效。在此背景下,央行既可以通过调整自身的资产负债表和引导公众预期来刺激投资和消费,也可以通过进一步降低政策利率直至为负来复苏实体经济,但是这些非常规货币政策的传导机制有别于常规货币政策,其大量使用也相应改变了常规货币政策的分析框架,造成衡量货币流动性的常用指标的代表性下降,因而,这使得将美国的联邦基金利率和中国的M2作为货币政策中介目标的有效性大打折扣。

理论上,非常规货币政策可以通过影响股市、汇率、资产组合、利率等来调控实体经济,同时,已有研究发现虚拟经济活动的扩张速度已远超真实财富的创造速度。基于虚拟经济与实体经济背离的指标体系测算结果表明,全球经济(包括中国)已经再次陷入实体经济与虚拟经济严重背离之困境。挽救金融危机的全球财政赤字和货币扩张政策,造成相当一部分资金流入虚拟经济,刺激虚拟经济持续攀升,而实体经济却持续萎靡。因此,相对于货币量和政策利率,股市指数的变化更加及时有效。借鉴Giovanni等(2016)的做法,本文在选取常规货币政策变量(中国的M2和美国的联邦基金利率)的同时,也分别选取中美两国的股市指数作为两国各自的货币政策变量,以客观反映两国货币政策的实施效果。本文选取的中美两国货币政策中介目标的趋势图如图 3

图 3 中美两国货币政策中介目标

图 3a是中国货币政策中介目标(M2、上海证券交易所综合指数、深圳证券交易所综合指数)的趋势拟合图,b是美国货币政策中介目标(联邦基金利率、纽约股票交易所综合指数)的趋势拟合图。从图 3a可以看出,样本区间内中国M2的变动走势与上证综指及深证综指的变动走势既存在一定的契合度,又有所不同。尤其是2013年以来,中国创造性地使用多种非常规货币政策工具,增加了公开市场操作手段,以更加灵活地管理中短期流动性,一定程度上导致M2变动与两个综合指数变动存在偏离。因此,基于虚实背离大背景和股市的迅速反应等特点,选取股市指数作为中国货币政策中介目标具有一定的合理性。

图 3b可以看出,联邦基金利率与纽约股票交易所综合指数的长期变化趋势具有一致性,这也印证了股市指数在捕捉政策变动的典型化事实方面具有明显优势:2007年9月至2008年12月期间,美联储采取10次降息操作使联邦基金利率从5.25%下降到0%—0.25%,其大幅变动同样引起股市指数大幅波动。自金融危机发生以来,美国货币当局多次使用非常规货币政策,其效果更多地通过未来经济活动预期(资产价格变动)进行传导。因此,相对于联邦基金利率,纽约股票交易所综合指数作为美国货币政策中介目标的代表性更强。

本文最后选取M2与上证综指作为中国的货币政策变量,选取联邦基金利率与纽约股票交易所综合指数作为美国的货币政策变量。所有数据均来源于CEIC数据库,数据频率均为月度,时间跨度均为2000年1月至2016年6月,对所有数据均进行X-12季节性调整及对数差分的平稳化处理。

(三) 实证分析 1. 政策溢出的间接路径

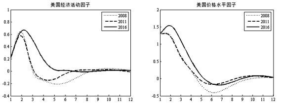
本部分通过关注货币政策对别国经济活动和价格水平的影响来研究溢出效应,挖掘国家间货币政策溢出的间接路径,探究不同时期央行的货币政策取向。为保证结果的稳健性,分别将中美两国的经济活动因子、价格水平因子与不同的货币政策变量纳入至TVP-SVAR模型进行脉冲响应分析。由于模型的系数具有时变特征,因而最终得到区分时期的三维脉冲响应图,为更好地观测全球金融危机后中美两国货币政策间的溢出影响,本文分别选取2008年、2011年和2016年作为代表年份,设定冲击规模为1个单位标准差(序列在样本区间内随机波动的均值),最后得到三个年份年初的脉冲响应图,如图 4图 7所示。

图 4 M2冲击的脉冲响应图(中国)
图 5 股市指数冲击的脉冲响应图(中国)
图 6 联邦基金利率冲击的脉冲响应图(美国)
图 7 股市指数冲击的脉冲响应图(美国)

图 4图 5为中国货币政策变量(M2、上证综指)对美国经济活动因子和价格水平因子的脉冲响应图。综合分析发现,无论是M2还是上证综指,其1单位的正向冲击对美国经济活动因子和价格水平因子均有影响,且不同年份其影响程度存在差异,表现出明显的时变特征。全球金融危机后,随着时间的推延,中国货币政策变量的冲击作用更加显著,呈现出波幅增大且持续期延长的特征。对比分析发现,图 5中不同年份的冲击作用差异更明显,更加清晰地刻画出中国货币政策对美国经济的溢出效应日趋增强的态势。在虚实背离环境下,宽松货币政策形成的流动性大量流向股市,造成股市指数与货币政策高度趋同,因此,相对于M2,上证综指更能代表中国货币政策的宽松程度,其对美国经济的冲击影响也更能代表其真实的作用机制及其影响程度。

图 6图 7为美国货币政策变量对中国经济活动因子和价格水平因子的脉冲响应图。综合分析发现,无论是联邦基金利率还是纽约证券交易所综合指数,在不同年份,1单位的正向货币政策冲击对中国经济活动因子和价格水平因子的影响程度不同,具有明显的时变性。全球金融危机后,随着时间的推延,美国货币政策变量的冲击作用更加显著,呈现出波幅增大且持续期延长的特征。对比分析发现,图 7中不同年份的冲击作用差异更大,因此,相对于联邦基金利率,纽约证券交易所综合指数因考虑了更多的市场经济信息而更能代表美国货币政策的宽松程度。

2. 政策溢出的直接路径

本部分通过关注两国货币政策之间的联动反应来研究货币政策溢出效应,探究国家间货币政策溢出的直接路径。该部分将中美两国的货币政策变量(两国股市指数:上海证券交易所综合指数、纽约证券交易所综合指数)同时纳入至TVP-SVAR模型进行脉冲响应分析来考察两国货币政策的直接影响。为便于比较,本研究选取2008年、2011年及2016年作为代表年份,设定冲击规模为1个单位标准差(序列在样本区间内随机波动的均值),最后得到三个年份年初的脉冲响应图,如图 8图 9所示。

图 8 中国股市指数冲击的脉冲响应图
图 9 美国股市指数冲击的脉冲响应图

图 8为中国货币政策变量(上海证券交易所综合指数)对美国货币政策变量(纽约证券交易所综合指数)的脉冲响应图;图 9为美国货币政策变量(纽约证券交易所综合指数)对中国货币政策变量(上海证券交易所综合指数)的脉冲响应图。分析发现,两国货币政策对本国国内的影响在2008年、2011年、2016年三个年份的变化趋势基本相似,同时,均对另一国家的货币政策具有不同程度的溢出效应,该效应在不同年份的影响程度不同,尤其是全球金融危机之后,两国之间的货币政策溢出效应幅度均呈现扩大趋势,且持续性不断延长。

对比图 8图 9中货币政策的有效性和溢出影响发现,溢出效应的存在均不同程度地降低了货币政策在国内的作用效果,相对来说,由于美国在国际货币体系中的重要地位,其货币政策更容易受到其他国家回溢效应的影响,同时对其他国家的影响也更大,导致其本身货币政策的作用效果更加不明显。这一现象在中美两国货币政策的直接溢出路径中体现得较为明显,同时也说明在国际联系日趋紧密的背景下,货币政策取向需要更加关注国家间的货币政策策略,尽量降低由于政策不协调所带来的博弈成本,以实现在合作基础上的收益最大化。

五 结论与政策启示

本文从国家间货币政策的溢出理论出发,选择中国和美国作为研究对象,分别将中美两国的资产价格指数、经济活动因子和价格水平因子同时纳入至TVP-SVAR模型,借由货币政策的国家间溢出及其趋势变化来进一步考察两国货币政策的经济效应,得到的主要结论如下:

1.中美两国货币政策间存在直接和间接的两种溢出路径,即一国货币政策既可以通过影响他国的经济活动和价格水平,进而引起他国货币政策做出调整来实现政策外溢,也可以通过影响他国经济活动和价格水平的预期继而直接影响他国货币政策做出相应调整。

2.中美两国货币政策间存在双向溢出效应,即美国对中国存在溢出效应的同时,中国也对美国存在较大的回溢影响,并且二者之间的影响最终体现在两国货币政策的联动性上。

3.中美两国货币政策之间的溢出效应存在时变特征,尤其是全球金融危机以来,美联储的货币政策对我国的溢出影响有增强趋势,同样,中国货币政策对美国的政策影响也逐渐显现,进一步说明中美两国货币政策国家间溢出的现实存在性与货币政策国际协调的必要性。

中美两国作为经济大国,其货币政策的制定与执行具有独立性。但全球金融危机后,其政策分歧逐渐弱化,联动性增加。2017年上半年,美国经济总体向好,考虑到包括中国在内的世界各国的经济表现,加息与缩表被更多地纳入到了美联储的货币政策框架,而继美联储宣布加息后,中国央行全线上调SLF、MLF及逆回购利率,两国货币政策协调性日益凸显。

基于上述分析,本文得到如下启示:第一,基于美元在国际货币体系中的重要性,中国货币当局应正确认识美国货币政策溢出效应的影响渠道及其作用机理,并积极制定应对策略,降低政策风险,维持国内经济稳定。第二,随着中国的国际地位提升及国际影响力增强,中国货币当局在制定与实施本国货币政策的同时也应充分考虑其可能的外溢影响,最大限度地降低对别国的政策冲击,争取国家之间的政策合作。第三,伴随着全球经济金融一体化加深,世界各国间的联系逐渐紧密,宏观政策的溢出效应随之加大,一个国家的货币政策效果既取决于本国的政策操作,也与本国货币政策的溢出程度及别国货币政策的回溢影响有关。因此,从国家间溢出视角看,货币政策也需要“内外兼修”,“以邻为壑”的短视行为并不利于本国经济的长期发展,在合作博弈基础上制定国际性货币政策将是未来的恰当选择。

参考文献
邓创、席旭文, 2013, 《中美货币政策外溢效应的时变特征研究》, 《国际金融研究》第9期. http://kns.cnki.net/KCMS/detail/detail.aspx?filename=gjjr201309002&dbname=CJFD&dbcode=CJFQ
何国华、谭炯, 2014, 《国际货币政策协调理论研究的新进展》, 《国际金融研究》第11期. http://kns.cnki.net/KCMS/detail/detail.aspx?filename=gjjr201411004&dbname=CJFD&dbcode=CJFQ
黄宪、杨子荣, 2016, 《中国货币政策会冲击到美国货币政策吗——基于效益外溢的视角》, 《国际金融研究》第1期. http://kns.cnki.net/KCMS/detail/detail.aspx?filename=gjjr201601003&dbname=CJFD&dbcode=CJFQ
苏治、位雪丽、赵宣凯, 2016, 《符号约束与时变参数SVAR模型的贝叶斯估计实现》, 《统计研究》第10期. http://kns.cnki.net/KCMS/detail/detail.aspx?filename=tjyj201610012&dbname=CJFD&dbcode=CJFQ
邢天才、唐国华, 2011, 《美国货币政策对中国货币政策的溢出效应研究》, 《财经问题研究》第11期. http://kns.cnki.net/KCMS/detail/detail.aspx?filename=cjwt201111007&dbname=CJFD&dbcode=CJFQ
张晶, 2013, 《美国持续低利率政策对中国货币政策的影响分析》, 《财贸经济》第4期. http://kns.cnki.net/KCMS/detail/detail.aspx?filename=cmjj201304009&dbname=CJFD&dbcode=CJFQ
Bernanke, B., Boivin, J. and Eliasz, P., 2005, "Measuring Monetary Policy:A Factor Augmented Vector Autoregressive(FAVAR) Approach", Quarterly Journal of Economics, Vol.120, No.1. https://dialnet.unirioja.es/servlet/articulo?codigo=1121280
Carter C.K. and Kohn R., 1994, "On Gibbs Sampling for State Space Models", Biometrika, Vol.81, No.3.
Catherine, D., Domenico, G. and Lucrezia, R., 2011, "A Two-step Estimator for Large Approximate Dynamic Factor Models Based on Kalman Filtering", Journal of Econometrics, Vol.164, No.1. http://linkinghub.elsevier.com/retrieve/pii/S030440761100039X
Fernald, J.G., Spiegel, M.M. and Swanson, E.T., 2014, "Monetary Policy Effectiveness in China:Evidence from a FAVAR Model", Journal of International Money and Finance, Vol.43. http://linkinghub.elsevier.com/retrieve/pii/S0261560614000849
Giovanni, G. and Tawk, N., 2016, "Spillovers from Japan's Unconventional Monetary Policy to Emerging Asia:A Global VAR Approach", IMF Working Paper. https://ideas.repec.org/p/imf/imfwpa/16-99.html
Hausman, J. and Wongswan, J., 2011, "Global Asset Prices and FOMC Announcements", Journal of International Money and Finance, Vol.30, No.3. http://linkinghub.elsevier.com/retrieve/pii/S0261560611000180
Johansson, A.C., 2009, "Is U.S. Monetary Causing China's Output?" China Economic Review, Vol.20, No.4. http://linkinghub.elsevier.com/retrieve/pii/S1043951X09000480
Kim, S.J. and Nguyen, D.Q., 2009, "The Spillover Effects of Target Interest Rate News from the U.S. Fed and the European Central Bank on the Asia-Pacific Stock Markets", International Financial Markets, Institutions & Money, Vol.19.
Sims C.A., 1992, "Interpreting the Macroeconomic Time Series Facts:The Effects of Monetary Policy", European Economic Review, Vol.36, No.5.
价格之谜(Price Puzzle)最早由Sims(1992)发现,即紧缩性的货币政策非但没有导致价格水平的下降,反而经常伴随着价格水平的上升。
两步估计法的具体步骤如下:第一步,对因子变量集合进行主成分分析,提取代表大量经济指标走势的主成分,在此基础上进行最小二乘估计,得到模型参数的初始值及初始潜在因子;第二步,使用卡尔曼平滑方法重新估计参数,得到更新的参数估计,并在此基础上重新计算潜在因子。
构造的因子中包含大量宏观经济基础指标的信息,其走势与单一经济指标相比会存在小范围的波动差异,显示出其信息丰富性优势。
符号约束法是为解决SVAR模型识别过程中约束条件过紧问题而提出的。其核心思想是根据经济理论直接限定货币政策对相关经济变量的影响方向,优势在于在帮助模型参数识别的同时也能弥补VAR模型缺乏理论基础的缺陷。
本文综合使用Gibbs抽样法和贝叶斯统计方法中的Carter-Kohn(1994)算法来求解TVP-VAR(p)模型中的状态变量Φt、观测方程的方差协方差矩阵Ω、状态转移方程的参数К、状态转移矩阵F和方差协方差矩阵Σ
美国的非常规货币政策主要是指量化宽松政策与前瞻性指引政策。2008年全球金融危机爆发之后,出于不同的经济动机,美联储实施了四轮量化宽松政策。次贷危机爆发后其历次前瞻性指引可分为两类,一类是美联储历次公布的FOMC利率决议中的货币政策导向,另一类是两次FOMC会议之间大量且频繁的联储官员讲话。
文中提及的SLF(常备借贷便利)、MLF(中期借贷便利)及逆回购为中央银行的新型货币政策工具,常被用来作用于银行间市场。